Зміст:
- Призначення елеватора у системі опалення
- Як функціонує елеватор?
- Розрахунок елеватора опалення
- Висновок
При централізованому теплопостачанні гаряча вода, перш ніж потрапити в радіатори опалення багатоквартирних будинків, проходить через тепловий пункт. Там вона доводиться до необхідної температури за допомогою спеціального обладнання. З цією метою в переважній більшості будинкових теплових пунктів, побудованих за часів СРСР, встановлено такий елемент, як елеватор опалення. Розповісти, що він собою являє і які завдання виконує, покликана дана стаття.
Призначення елеватора у системі опалення
Теплоносій, що виходить з котельні або ТЕЦ, має високу температуру – від 105 до 150 °С. Природно, що подавати воду в систему опалення з такою температурою неприпустимо.

Нормативними документами ця температура обмежена межею 95 °С і ось чому:
- в цілях безпеки: можна отримати опіки від дотику до батарей;
- не всякі радіатори можуть функціонувати при високих температурних режимах, не кажучи вже про полімерних трубах.
Знизити температуру мережевої води до нормованого рівня дозволяє робота елеватора опалення. Ви запитаєте – а чому не можна відразу направити в будинки воду з необхідними параметрами? Відповідь лежить в площині економічної доцільності, подача перегрітого теплоносія дозволяє передати з одним і тим же об’ємом води набагато більшу кількість тепла. Якщо температуру зменшити, то доведеться збільшити витрату теплоносія, а слідом істотно зростуть діаметри трубопроводів теплових мереж.

Отже, робота елеваторного вузла, встановленого в тепловому пункті, полягає у зниженні температури води шляхом підмішування в подаючий трубопровід охолоджений теплоносій з обратки. Слід зазначити, що цей елемент вважається застарілим, хоча до цих пір широко використовується. Зараз при влаштуванні теплових пунктів застосовуються змішуючі вузли з триходовими клапанами або пластинчасті теплообмінники.
Як функціонує елеватор?
Якщо говорити простими словами, то елеватор в системі опалення – це водяний насос, що не вимагає підведення енергії ззовні. Завдяки цьому, та ще простій конструкції і низької вартості, елемент знайшов своє місце практично у всіх теплових пунктах, що будувалися в радянський час. Але для його надійної роботи потрібні певні умови, про що буде сказано нижче.

Щоб зрозуміти пристрій елеватора системи опалення, слід вивчити схему, представлену вище на малюнку. Агрегат чимось нагадує звичайний трійник і встановлюється на подаючому трубопроводі, своїм боковим відводом він приєднується до зворотної магістралі. Тільки через простий трійник вода з мережі проходила б відразу у зворотний трубопровід і прямо в систему опалення без зниження температури, що неприпустимо.
Стандартний елеватор складається з подаючої труби (передкамери) з вбудованим соплом розрахункового діаметра і змішувальної камери, куди підводиться охолоджений теплоносій з обратки. На виході з сайту патрубок розширюється, утворюючи дифузор. Агрегат діє наступним чином:
- теплоносій з мережі з високою температурою направляється в сопло;
- при проходженні через отвір малого діаметра швидкість потоку зростає, із-за чого за соплом виникає зона розрідження;
- розрідження викликає підсос води з зворотного трубопроводу;
- потоки змішуються в камері і виходять в систему опалення через дифузор.
Як відбувається описаний процес, наочно показує схема елеваторного вузла, де всі потоки позначені різними кольорами:

Неодмінна умова стійкої роботи вузла полягає в тому, щоб величина перепаду тиску між подаючої і зворотної магістраллю мережі теплопостачання було більше, ніж гідравлічний опір опалювальної системи.
Поряд з явними перевагами даний змішувальний вузол володіє одним істотним недоліком. Справа в тому, що принцип роботи елеватора опалення не дозволяє регулювати температуру суміші на виході. Адже що для цього потрібно? Змінювати при необхідності кількість перегрітого теплоносія з мережі і подсасываемой води з обратки. Наприклад, щоб знизити температуру, треба зменшити витрати на подачі і збільшити надходження теплоносія через перемичку. Цього можна досягти тільки зменшенням діаметра сопла, що неможливо.

Проблему якісного регулювання допомагають вирішити елеватори з електроприводом. У них за допомогою механічного приводу, обертається електродвигуном, збільшується або зменшується діаметр сопла. Це реалізовано за рахунок дросельної голки конусної форми, що входить в сопло зсередини на певну відстань. Нижче зображена схема елеватора опалення з можливістю керування температурою суміші:

1 – сопло; 2 – дросельна голка; 3 – корпус виконавчого механізму з напрямними; 4 – вал із зубчастим приводом.
Примітка. Вал приводу може забезпечуватися як рукоятку для керування вручну, так і електродвигуном, що включаються дистанційно.

З’явився відносно недавно регульований елеватор опалення дозволяє проводити модернізацію теплових пунктів без кардинальної заміни обладнання. Враховуючи, скільки ще подібних вузлів функціонує на теренах СНД, подібні агрегати здобувають все більшу актуальність.
Розрахунок елеватора опалення
Слід зазначити, що розрахунок водоструминного насоса, яким є елеватор, вважається досить громіздким, ми постараємося подати його в доступній формі. Отже, для підбору агрегату нам важливі дві головні характеристики елеваторів – внутрішній розмір змішувальної камери і прохідний діаметр сопла. Розмір камери визначається за формулою:

Тут:
- dr – шуканий діаметр, см;
- Gпр – наведене кількість змішаної води, т/ч.
У свою чергу, наведений витрата обчислюється таким чином:

В цій формулі:
- ?см – температура суміші, що йде на опалення, °С;
- ?20 – температура холодної теплоносія в зворотній лінії, °З;
- h2 – опір опалювальної системи, м. вод. ст.;
- Q – реквізит витрата тепла, ккал/год.
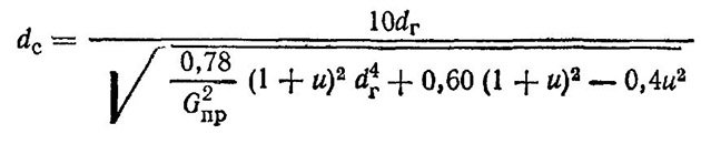
Щоб підібрати елеваторний вузол системи опалення за розміром сопла, треба його розрахувати за формулою:

Тут:
- dr – діаметр змішувальної камери, см;
- Gпр – наведений витрата змішаної води, т/год;
- u – безрозмірний коефіцієнт інжекції (змішування).
Перші 2 параметра вже відомі, залишається тільки відшукати значення коефіцієнта змішування:

В цій формулі:
- ?1 – температура перегрітої теплоносія на вході в елеватор;
- ?см, ?20 – те ж, що і в попередніх формулах.
Примітка. Для розрахунку сопла треба взяти коефіцієнт u, рівний 1.15 u’.
Спираючись на отримані результати, здійснюється підбір агрегату за двома основними характеристиками. Стандартні розміри елеваторів позначені номерами від 1 до 7, приймати треба той, що ближче всього до розрахунковим параметрам.
Висновок
Оскільки реконструкції всіх теплових пунктів відбудуться нескоро, елеватори ще довго будуть служити в якості змішувачів. Тому знання їх пристрою і принципу дії буде корисним певному колу людей.
