Збираючись утеплювати свої помешкання, багато власників будинків стикаються з проблемою вибору утеплювальних матеріалів. Дійсно, асортимент теплоізоляторів досить великий і всі вони мають різні характеристики і області застосування. Одним з основних параметрів утеплювача є паропроникність — властивість матеріалів і конструкцій, виконаних з них, пропускати крізь себе водяний пар. Навіщо нам потрібно знати цей параметр?
Справа в тому, що вологі, тим більше мокрі, теплоізоляційні матеріали істотно збільшують свою теплопровідність. І як наслідок перестають виконувати теплоізолюючі функції, тобто утеплювач вже не утеплює, а присутня тільки для виду. Мало того волога, що сконденсувалася в матеріалі огороджувальної конструкції, замерзаючи взимку, руйнує його зсередини, послаблюючи конструктивну міцність, що загрожує різким погіршенням здоров’я мешканців.

При вивченні цих процесів з’являється на світ так звана «точка роси» — термін, пов’язаний з конденсацією водяної пари. Яке відношення він має до будівництва, ми зараз і спробуємо розібратися. По-простому, що називається «на пальцях».
Почнемо здалеку. Вода — основа життя на нашій планеті — присутній в наших будинках в трьох агрегатних станах:
- у рідкому — у водопровідних трубах, склянці, наших животиках;
- в газоподібному — у вигляді пари над каструлькою з супом, в паровому прасці, у видихуваному нами повітрі;
- в твердому — бурульки на даху, у вигляді льоду на ганку (куди дивляться двірники?!), у морозилці холодильника і келих віскі.
Крім цих очевидних місць, вода ще знаходиться в огороджувальних конструкціях (стінах, перекриттях, покрівлі) нашого будинку. З метою спрощення розуміння надалі ми будемо розглядати тільки стіни (точніше одну стіну), маючи на увазі, що схожі процеси відбуваються і в інших конструкціях будівлі.
Перш ніж розглядати паропроникність стін, зупинимося на водяній парі. Як і всі гази, складові повітря в приміщенні, він має парціальним тиском (парціальний — частковий, що становить частину чого-небудь). Тобто водяна пара тисне на стіну з певною силою. І якщо зовні (з вулиці) на цю ж стіну тисне з такою ж силою той же водяний пар, то він (пар) нікуди рухатися не буде.
Але якщо вдома жарко і сиро, а за вікном холодний сухий морозець, то пар, як скаковий кінь, кинеться туди, де його парціальний тиск нижче (так як вологи у вуличному повітрі немає або дуже мало), тобто на вулицю, проникаючи крізь пори матеріалу стіни. При цьому охолоджуючись по дорозі (адже температура внутрішньої поверхні стіни +25 °С, а зовнішній, наприклад, -20 °С, мороз, однак), і по мірі охолодження перетворюючись на воду (конденсуючись).
Переходити в інший агрегатний стан (воду) водяна пара може при зниженні температури, підвищення атмосферного тиску, збільшення кількості пари в повітрі (підвищення вологості). Нормальний атмосферний тиск (760 мм ртутного стовпа) там, де живуть люди, може змінюватися лише на пару–трійку відсотків у обидві сторони, тому його вплив ми враховувати не будемо.

Розглянемо фізику процесу конденсації пари в матеріалі стіни у міру його просування зсередини назовні. Для простоти будемо вважати, що температура повітря всередині і зовні приміщення постійні. Кількість водяної пари в грамах в одиниці об’єму повітря (в 1 м3) називається абсолютною вологістю повітря. У будівельних теплофізичних розрахунках застосовується параметр відносна вологість повітря. Він показує кількість водяної пари в повітрі в частках від максимально можливого при певній температурі і найчастіше виражається у відсотках.
Наприклад, відносна вологість повітря 60% при температурі 20 °С, говорить про те, що в одному кубічному метрі повітря у вигляді пари знаходиться 10,4 грама води, що становить 60% (6/10) від максимальної кількості води (17,3 грама в 1 м3), яка може перебувати в пароподібному стані в тому ж кубометрі повітря при даній температурі.
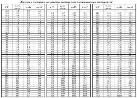
Кожен i–тий газ, що становить наш повітря (азот, кисень, аргон, вуглекислий газ і ін) як і водяний пар, створює своє власне парціальний тиск еі, визначається згідно з рівнянням Клапейрона (формулу дивіться на картинці). Суму парціальних тисків газів повітря можна виміряти з допомогою звичайного барометра. Частка тиску насиченої пари в ній не перевищує 0,1 % і для температури 20 °С становить приблизно 2,34 кПа (дивись таблицю).

При 100% відносній вологості повітря максимально насичене водяною парою і називається насиченим (за аналогією з объевшимся людиною). Ступінь насиченості повітря водяною парою залежить тільки від його температури, чим вона вище, тим більше молекул води в одиниці об’єму може перебувати в пароподібному стані. Залежність тиску насиченої пари від температури була знята експериментальним шляхом і занесена в спеціальні таблиці. Парціальний тиск насиченої водяної пари називається тиском насичення повітря водяною парою і позначається символом Е (дивись картинку з графіками).
Якщо збільшити температуру повітря з деякою (відмінної від нуля) абсолютною вологістю його відносна вологість знизиться, так як величина парціального тиску водяної пари зростає лінійно від температури, причому досить повільно, а тиск насичення зростає по експоненті (тобто набагато швидше). Навпаки, при охолодженні повітря відносна вологість зросте внаслідок більш швидкого зниження величини тиску насичення.

За міру охолодження вологого повітря до певної температури, коли парціальний тиск пари стане рівним тиску насичення парою при цій же температурі, відносна вологість повітря складе 100%, тобто повітря досягне максимального насичення водяною парою. Ця температура називається точкою роси. Якщо повітря буде і далі охолоджуватися, то частина вологи почне з нього конденсуватися. Повітря при цьому буде як і раніше повністю насичене водяною парою, а його тиск насичення буде знижуватися відповідно до падаючої температурою.
В процесі зниження температури, вона в кожен момент часу буде точкою роси для нової сформувалася абсолютної вологості повітря. Іншими словами, у міру просування (дифузії) водяної пари крізь матеріал стіни в бік холодної вулиці, він з кожним сантиметром буде потрапляти під все більш холодні шари, і, остигаючи, продовжить конденсуватися, зволожуючи при цьому стіну.
Умовою відсутності утворення конденсату на внутрішній поверхні стіни і в її товщі є підтримання температури огороджувальних конструкцій і повітря в приміщенні вище точки роси, а це значить, що парціальний тиск водяної пари в кожній точці перерізу стіни має бути менше тиску насичення пари. Дотримання цієї умови можна досягти зовнішнім утепленням стін, їх внутрішньої пароізоляцією, зниженням абсолютної вологості повітря в приміщенні шляхом його провітрювання і вентилювання.
Про те, чим і які стіни можна утеплювати, не побоюючись обвалення перекриттів, розповімо в наступній статті.
