Система водовідведення в приватному будинку

Власний котедж – це не просто житло, а цілий комплекс взаємопов’язаних між собою комунікаційних систем. Для того, що повною мірою використовувати каналізацію, необхідно правильно облаштувати водовідведення в приватному будинку.

Конструкція

Система водовідведення в приватному будинку складається з цілого ряду окремих елементів, з’єднаних між собою. Кожен з них є обов’язковим і призначений для певної мети. Стандартна конструкція представляє собою наступні частини:

  • Приймач. Це може бути будь-приймальне отвір, призначене для переправления стоків у певне русло. Наприклад, раковина, унітаз, дренажний люк або воронка на даху. Головним завданням цього елемента є відведення певної кількості стічної рідини в жолоби;
  • Жолоби. Вони ж каналізаційні труби. У них скидають відходи приймачі. По стоків рідина направляється в очисні споруди або колодязь. Труби можуть бути виконані з різних матеріалів і різної форми. Також вони можуть розміщуватися як на поверхні землі, так в грунті;
  • Ємність для відстоювання стоків або очисна споруда. Це може бути дренажний колодязь, відстійник, автономна система очищення стоків. Вона необхідна для того, щоб очищати воду від забруднень. У більшості випадків, після використання таких накопичувачів, рідина стає технічної і може використовуватися для різних цілей;
  • Система скидання, инфильтратор, накопичувач. Каналізація житлового будинку обов’язково передбачає можливість скидання очищеної води. Існує декілька варіантів розв’язання цієї задачі. Скидання в річку або грунт – дозволить забезпечить ефективне очищення колодязя, але може забруднювати навколишнє середовище. Скидання через инфильтратор – природний процес, при котрому стоки проходять ґрунтову доочистку, а після цього виводяться разом із ґрунтовими водами. Накопичувач. Варіант, який не передбачає позбавлення від води.

    Система водовідведення в приватному будинкуСкладові елементи

  • Як зрозуміло з конструкції, повний проект системи водовідведення включає в себе розробку як зовнішньої, так і внутрішньої частин каналізації. Зовнішня є відведенням цієї комунікації до колодязя, внутрішня являє собою каналізаційну систему в межах приватного будинку. Це труби, що йдуть від умивальників, унітазів, ванн та інших споживачів. Вони з’єднуються в певній точці і виводять всі стоки. Але якщо неправильно розрахувати їх довжини і діаметр, то ефективність роботи відводить системи може серйозно постраждати.

    Система водовідведення в приватному будинкуКонструкція зовнішнього водовідведення

    Правила облаштування водовідведення в приватному будинку:

  • При обладнанні зовнішніх труб обов’язково потрібно продумати їх утеплення. Вони повинні або знаходитися під землею – нижче рівня промерзання грунту, або (при наземному розташуванні), утеплятися геотекстилем;
  • На відводи всіх споживачів всередині будинку обов’язково встановлюються запірні кран. Вони забезпечать безпеку каналізаційної системи в разі аварійної ситуації;
  • Вся каналізація встановлюється під ухилом. Це стосується і зовнішніх, і внутрішніх водовідвідних. Гости різняться для різних типів будівлі і діаметрів трубопроводів, але вважається. Що оптимально – ухил не менше 12 градусів на метр погонний.
  • Система водовідведення в приватному будинкуРозведення внутрішнього водовідведення

    Як робити

    Перед тим, як починати будівництво каналізації в приватному будинку, потрібно провести розрахунок споживання та водовідведення. Для того щоб правильно розрахувати, необхідно скористатися спеціальними ГОСТами та Снип.

    Система водовідведення в приватному будинкуПриклад розрахунку

    В першу чергу, потрібно з’ясувати, яка норма споживання води на добу. Вважається, що для жителів сіл, міст і невеликих міст ці параметри відрізняються. Наприклад, для невеликого міста нормою вважається близько 200 літрів на добу на одного дорослого людини, в той час, як на жителя мегаполісу припадає понад 700. Відповідно, змінюються вимоги до діаметру і ухили трубопроводів.

    Відео: Системи водовідведення для приватного будинку.

    Діаметр труб підбирається з обліку використання конкретних приймачів. Наприклад, унітаз необхідний для відводу великої кількості відходів, тому від нього повинна йти труба, діаметром не менше 100 мм. Умивальники, пральні машинки, ванні, посудомийки потребують меншому діаметрі – до них підключають труби до 50 мм.

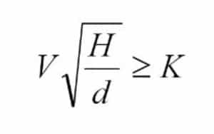
    Не менш важливим параметром є ухил труб, якими забезпечується водовідведення в приватному заміському будинку. Він також розраховується індивідуально, для цього існує спеціальна формула:

    Система водовідведення в приватному будинкуРозрахунок нахилу

    Де V – це приблизна швидкість потоку, H – граничне наповнення, D – повний діаметр. У результаті повинно вийти число, яке буде менше визначеного коефіцієнта для даного діаметра трубопроводу. Сам коефіцієнт береться з довідників для сантехнічних установок.

    Пристрій водовідведення в приватному будинку своїми руками:

  • До кожного приймального отвору підключається труба певного діаметру. Каналізація може проводитися як зовнішнім шляхом, так і внутристеным. Для першого не потрібно ніяких особливих зусиль, але він не завжди ергономічний, тому в основному домашні майстри воліють розміщати труби в стінах. Для цього їх поверхні штробят, а всередині канав прокладаються комунікації;
  • Як говорилося вище, технічні умови вимагають, щоб кожен відвід врізалася запірна арматура. Для цього на трубах нарізається різьба (по металу) або встановлюється муфта (при використанні пластикових відводів);
  • Для отримання замкнутої мережі, всі відводи з’єднуються між собою за спеціальною схемою. Дуже важливо передбачити, щоб стоки не могли потекти в неправильному напрямку. Для того щоб цього не допустити, потрібно обов’язково звертатися до фахівців. Зверніть увагу, що а – це водопостачання, б – водовідведення;

    Система водовідведення в приватному будинкуСхема розводки

  • Після цього залишається тільки провести зовнішню каналізацію. Для чого необхідно викопати траншеї і котловани для очисної споруди. Їх стінки зміцнюються, в землі, прокладаються труби. Попередньо, при необхідності. Вони утеплюються текстильним волокном або кожухом (з глини, бетону);
  • До зовнішніх відведення підключаються зовнішні. Обов’язково герметизуються всі стики, перевіряються на міцність. Схема може мати будь-який вигляд, головне, щоб вона дозволяла ефективно відводити стоки і попереджала переповнення трубопроводів;
  • Останній етап – це встановити очисну споруду і підвести до нього дрени (які виводиться водовідведення дощової води з даху, дренажних установок) та каналізаційні труби з будинку.

    Система водовідведення в приватному будинкуСептик

  • Сподобалася стаття? Поділитися з друзями:
    Корисні поради для кожного