Конструкція будь-якого будинку, особливо дерев’яного, потребу в захисті від ударів блискавки. Різні будівлі відрізняються формою дахів і матеріалом покрівельного покриття. Щоб забезпечити 100% захист споруди, необхідно індивідуально підбирати необхідний вид пристрою. Давайте детальніше розглянемо, як проводиться блискавкозахист приватного будинку, і які існують її види.

Зміст
- 1 Види блискавкозахисту
- 2 Розрахунок блискавкозахисту
- 2.1 Розрахунок стрижневої захисту
- 2.2 Розрахунок тросової захисту
- 2.3 Розрахунок сіткового захисту
- 3 Бажана захист для різного виду покрівлі
- 4 Монтаж активного захисту
- 5 Установка блискавкоприймача пасивного захисту
- 5.1 Монтаж сітки на м’яку покрівлю
- 5.2 Установка стрижня
- 5.3 Монтаж тросового приймача
- 6 Виготовлення струмовідводу
- 7 Виготовлення контуру заземлення
- 8 Захист від блискавки дерев’яного будинку
Види блискавкозахисту
Існує два види систем захисту від блискавки:
- пасивна захист як блискавкоприймача передбачає використання металевої сітки, троса або стрижня. Приймач вловлює удар блискавки, направляє його за струмовідводу до заземлення, де відбувається гасіння електричного розряду в грунті. Вибираючи тип приймача, треба враховувати матеріал покрівлі, щоб забезпечити надійний захист;
- активний захист має аналогічні елементи, як і пасивна, лише відрізняється приймачем і принципом роботи. Він складається з щогли з приймальною головкою, що має генератор іонів. Іонізуючи навколо себе повітря, головка вловлює розряди блискавки, направляючи їх за такою ж схемою до заземлення. Перевагою активної системи є захист поруч розташованих будинків.
З усіх захистів активна є найефективнішою, але її вартість набагато дорожче пасивною.
Розрахунок блискавкозахисту
Ймовірність попадання блискавки в будинок залежить від його місця розташування. Наприклад, якщо навколо дачного будиночка знаходяться високі споруди, водонапірні башти та інші конструкції, то удар блискавки вони візьмуть на себе. Високі дерева навколо будинку теж можуть виконати роль громовідводу, але електричне опір деревини може сприяти розгалуження блискавки.
Найнебезпечнішим місцем розташування є самотньо стоїть будинок на пагорбі. Гарантією його безпеки правильний розрахунок параметрів блискавкозахисту.
Розрахунок стрижневої захисту
Стрижнева або як її ще називають, штирові захист утворює навколо споруди захищене конусоподібний простір.

Зробити розрахунок захисту одиночного стрижня можна по таблиці, де висота конуса позначена h0, а його радіус r0. Вершиною є вісь стрижня.

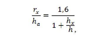
Як варіант, можна зробити розрахунок захисту за формулою:

В даному випадку rx – це радіус, ?а — активна висота стрижня, hx – висота будівлі, h – основна висота блискавковідводу.
Якщо будова має довгасту форму, одного стрижня для ефективного захисту буде недостатньо. В цьому випадку роблять розрахунок під установку двох штирів. Розрахунок аналогічно можна зробити за таблицею:

Тут треба врахувати, що показник L не повинен перевищувати вказане в таблиці значення Lmax. Інакше, ця захист буде не подвійний, а одиночної.
Здається на перший погляд, розрахунки дуже прості, але це краще довірити фахівцям зробити. Вони врахують багато додаткових чинників, яких недосвідчена людина може не помітити. Якщо вирішено все зробити своїми руками, то допомогти зможуть онлайн-програми. Треба тільки правильно підставити значення.
Розрахунок тросової захисту
Трос блискавковідводу натягується над будинком, тому між кордоном захисної зони утворюються двосхилі симетричні площини. Це треба врахувати при розрахунках, а всі інші дії ідентичні, як і для стрижневий захисту.

Розрахунок сіткового захисту
Так як захист заснована на застосуванні металевої сітки, то її розрахунок по таблиці вказує на вибір розміру комірок:

Щоб правильно зробити розрахунок, треба дотримуватися деяких правил:
- провідники сітки повинні розташовуватися по краю покрівлі. Це особливо важливо для дахів, що виходять за габарити споруди;
- на даху з ухилом більше 1/10 провідник монтують по коника;
- бічні площини, що виходять за радіус захисту, обладнуються додатковими молниеотводами;
- осередки сітки з розміром повинні відповідати параметрам, зазначеним у таблиці;

- сітка обладнується мінімум двома струмовідводами на кутах будівлі;
- будь-які виступають за основну сітку елементи будинку обладнуються додатковою сіткою;
- при розрахунку розташування струмовідводів їм треба знайти найкоротший шлях.
У випадку з металевим дахом, зробленої, наприклад, з металочерепиці, необхідно заземлення. Як самостійний блискавковідвід без сітки вона не годиться. Мала товщина металочерепиці не витримає високої температури в точці попадання блискавки і може розплавитися.
Бажана захист для різного виду покрівлі
Покрівельний матеріал є одним з важливих факторів, що впливають на правильний вибір виду захисту:
- на металевій даху ефективніше буде працювати стрижнева захист. Активна система потрібна для захисту великої площі, так як її приймач зможе замінити до десяти штирів. Специфічні конструкції металевої покрівлі іноді можуть виконувати роль провідника. Їх обрешетка і підпокрівельний матеріал повинні бути негорючими. Така схема передбачає підключення струмовідводу до покрівельного матеріалу, наприклад, металочерепиці;
- будинок, покритий неметалевої покрівлею, наприклад, бітумної або глиняною черепицею, володіє високими якостями ізолятора. Оптимальне пристрій захисту для нього – металева сітка. Для двосхилим даху треба встановити дві сітки, по одній на кожен скат. Причому кожну з них підключають до окремого струмовідводу;
- над м’якою покрівлею оптимально змонтувати своїми руками сітку, але такий пристрій може пошкодити покрівельний матеріал. Тут на виручку прийде активна система. Установка одного приймача вимагає малих переміщень по м’якій покрівлі, що позитивно позначиться на покритті.
Крім покрівельного матеріалу, ще треба враховувати форму даху, ландшафт і кліматичні умови.
Монтаж активного захисту
Активна система, в залежності від моделі, володіє радіусом захисту від 17 до 44 м. Вона може бути укомплектована лічильником уловлюваних розрядів і замінним.
Приймачі встановлюють на даху так, щоб вони були на 2 м вище від найвищої точки будинку. Їх кількість залежить від форми і площі даху. Монтаж щогл не повинен зашкодити покрівельне покриття, тому їх кріплять на димар або аналогічне височіє споруда.
Пристрій кожного приймача повинна мати свій окремий струмовідвід. Зазвичай його фіксують кріпленнями до водостічної труби. Струмовідвід являє собою алюмінієвий дріт, діаметром не менше 8 мм, приєднаний до заземлення. Всі металоконструкції захисного поля між собою з’єднують.
Установка блискавкоприймача пасивного захисту
Встановити на даху приймачі пасивного захисту можна своїми руками. Якщо є всі матеріали і розрахунок виконаний правильно, це не складе труднощів.
Монтаж сітки на м’яку покрівлю
На даху з м’якою покрівлею сітку зручніше монтувати до укладання покрівельного матеріалу. Це виключає його пошкодження. Сталевий дріт перетином 6 мм фіксують до попередньо закріпленим власникам. Її розташовують так, щоб вийшли комірки сітки. Розмір осередків визначають розрахунками, керуючись наведеною таблицею.
Дріт буває бухтами і окремими стрижнями. Монтаж з бухти ефективніше, так як немає розриву провідника. Але велика вага ускладнює роботи і зростає ризик пошкодження покрівлі. Готову сітку підключають токоотводом до заземлення.

Кріплення для блискавкозахисту на м’якій покрівлі
Установка стрижня
Приймач-штир виготовляють з металевого прута. Його розміри визначають розрахунками, але зазвичай довжина варіюється від 20 до 150 см, а переріз не перевищує 12 мм. Верхівка прута повинна мати переріз на менше 100 мм2. Іноді замість прута використовують металеву трубу, лише її верхню частину закривають заглушкою або заварюють.
Встановлюють такий пристрій на найвищій точці даху, фіксуючи його для стійкості підпорами. Штир через струмовідвід підключають до заземлення.

Блискавковідвід закріплений на трубі
Монтаж тросового приймача
Трос натягують над будинком між двома опорами. Обидва кінця троса і самі металеві стовпи підключають до заземлення. Якщо з якихось причин відсутня можливість установки опор, трос кріплять ізоляторами на даху. Діаметр троса визначають розрахунком. Зазвичай для приватного будинку досить перерізу 50 мм2.
Виготовлення струмовідводу
Всі громовідводи з’єднані з заземленням струмовідводами. Вони легко виготовляються своїми руками зі смуги або прута. Їх перетин розраховують виходячи використовуваного металу, що виражено в таблиці:

Правильний монтаж струмовідводу вимагає його розташування не менше 15 см від облицювання фасаду, якщо вона виконана з горючого матеріалу. Не можна прокладати провідник всередині приміщення. До будь-якої поверхні струмовідвід фіксують ізольованими кронштейнами.
Виготовлення контуру заземлення
Заземлення являє собою контур, виготовлений з металевих прутів діаметром 16 мм. Можна використовувати круглу трубу товщиною 32мм, профільну трубу або куточок перетином 100 мм.
Заземлення передбачає установку декількох заземлювачів, що залежить від загального навантаження використовуються в будинку приладів і від самої площі будівлі. Зазвичай заземлення облаштовується одним з трьох видів контурів:
- заземлення, має лінійний контур, що складається з двох груп заземлювачів, розташованих по кутах споруди;
- найпростіше заземлення складається з трьох вкопаних заземлювачів біля будівлі;

- більш надійне заземлення вважається з повного контуру, прокладеного по периметру споруди.
Заземлювач краще розташовувати на ділянці, де найдовше підтримується вологість грунту. Відстань від фундаменту не ближче 2 м, а від вхідних дверей не ближче 5 м.
Захист дерев’яного будинку від блискавки
Пристрій захисту дерев’яного будинку нічим не відрізняється від розглянутих аналогів. Тут враховуються всі ті ж фактори, так і сама дах дерев’яного будинку може бути з тієї ж металочерепиці або м’якої покрівлі. Єдина відмінність – це монтаж струмовідводу. Шину при монтажі видаляють від стіни не менше, ніж на 15 див.
Якщо правильно зробити блискавкозахист і заземлення, ніякі електричні розряди не зашкодять будинок і побутову техніку.


